Задать свой вопрос   *более 50 000 пользователей получили ответ на «Решим всё»

Задача 33539 Найдите значение выражения...

Условие

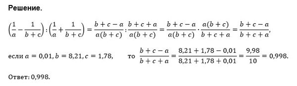
Найдите значение выражения (1/а-1/b+c):(1/а+1/b+c) при а=0,01; b=8.21; с=1,78

математика 8-9 класс 2195

Решение

Все решения

(b+c-a)/(a*(b+c)) : (b+c+a)/(a*(b+c))=

= (b+c-a)/(b+c+a)

При а=0,01; b=8,21; с=1,78

(8,21+1,78-0,01)/(8,21+1,78+0,01)=9,98/10=0,998

Написать комментарий

Меню

Присоединяйся в ВК