Задать свой вопрос
*более 50 000 пользователей получили ответ на «Решим всё»
Задача 33496
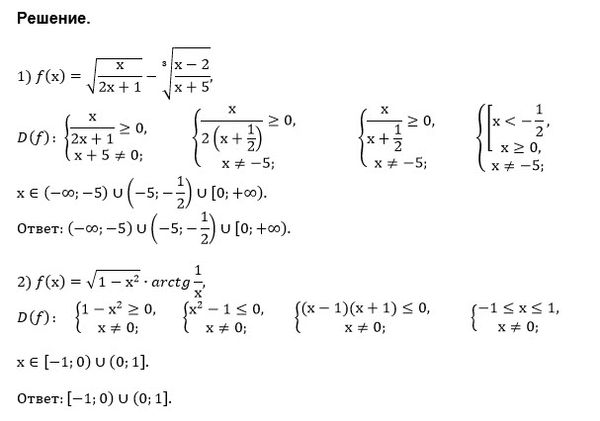
Найти область определения функции...
Условие
maryney23
2019-02-12 14:55:22
Найти область определения функции
предмет не задан
933
Решение
u821511235
2019-02-12 16:17:39
★
Написать комментарий
Меню
Решим всё
Найти задачу
Категории
Статьи
Тесты
Архив задач
Присоединяйся в ВК