Задать свой вопрос   *более 50 000 пользователей получили ответ на «Решим всё»

Задача 33397 Решите систему уравнений: а) 3x+y+4=0 ...

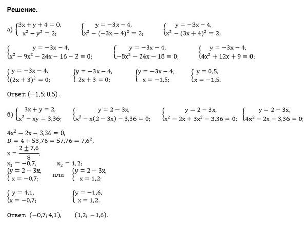
Условие

Решите систему уравнений:
а) 3x+y+4=0
x^2-y^2=2;
б) 3x+y=2
x^2-xy=3,36;

математика 8-9 класс 4204

Решение

Все решения

Способ подстановки
{y=-3x-4
{x^2-(-3x-4)^2=2 ⇒ x^2-(9x^2+24x+16)=2 ⇒ -8x^2-24x-18=0
4x^2+12x+9=0
(2x+3)^2=0
x=-3/2
y=-3*(-3/2)-4
y=1/2
О т в е т. (-3/2;1/2)

б) так же
y=2-3x
x^2-x*(2-3x)=3,36

Написать комментарий

Меню

Присоединяйся в ВК