Задать свой вопрос
*более 50 000 пользователей получили ответ на «Решим всё»
Задача 33382
Тригоном.уравнения на промежутках Нужна...
Условие
kokorina
2019-02-08 17:10:39
Тригоном.уравнения на промежутках
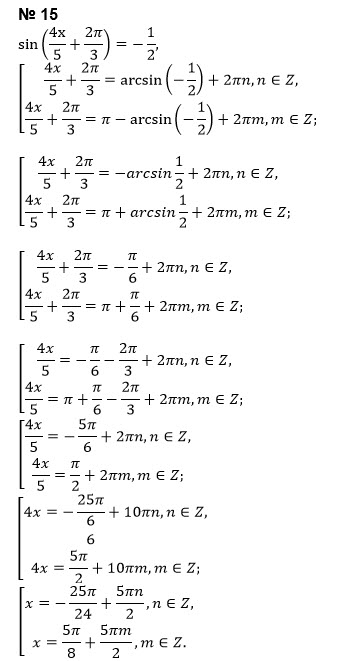
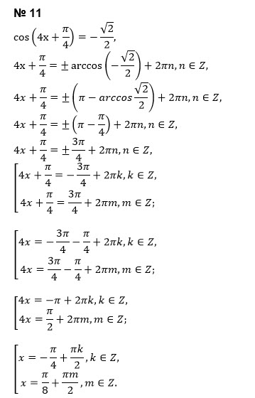
Нужна помощь с 11, 12, 13, 14, 15, 20, 21, 22 заданиями
математика 10-11 класс
696
Все решения
u821511235
2019-02-08 17:48:20
Написать комментарий
Меню
Решим всё
Найти задачу
Категории
Статьи
Тесты
Архив задач
Присоединяйся в ВК