Задать свой вопрос   *более 50 000 пользователей получили ответ на «Решим всё»

Задача 33355 ...

Условие


Одна из сторон треугольника равна √6 см, а прилегающие к ней углы 60 градусов и 75 градусов. Найдите другую сторону треугольника, прилегающей к углу 75 градусов

математика 8-9 класс 1324

Все решения

Третий угол треугольника
180 градусов -60 градусов - 75 градусов= 45 градусов
По теореме синусов:
sqrt(6)/sin45^(o)=x/sin75^(o)
x=sqrt(6)*sin75^(o)/sin45^(o)

sin45^(o)=sqrt(2)/2
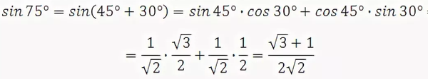
sin75^(o)= (sqrt(3)+1)(2sqrt(2))
(см. приложение)
О т в е т. sqrt(6)*(sqrt(3)+1)/2

Написать комментарий

Меню

Присоединяйся в ВК