Задать свой вопрос   *более 50 000 пользователей получили ответ на «Решим всё»

Задача 33306 ...

Условие

1. ∫ sin 2x dx / √9 + cos²2x

3. ∫ dx / x (1 - ln x)

математика ВУЗ 646

Решение

1. Замена
cos2x=t
dt=(cos2x)`dx
dt=-sin2x*(2x)`dx
dt=-2sin2xdx
sin2xdx=(-1/2)dt

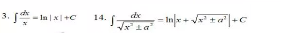
Получаем табличный интеграл (14)
(-1/2)∫dt/sqrt(9+t^2)=(-1/2) ln|t+sqrt(9 + t^2)|+C=

=(-1/2) ln | cos2x + sqrt(9 +cos^22x)|+ C

3
Замена
1-lnx=t
dt=(1-lnx)`dx
dt=(-1/x)dx
dx/x=-dt
Получаем табличный интеграл (3)

- ∫dt/t= - ln | t | + C = - ln | 1-lnx| + C

Написать комментарий

Меню

Присоединяйся в ВК