6,8,9
11,12,13,14,15
20,21,22
Заранее спасибо! 
сtg3x=sqrt(3)/3
3x=arcсtg(sqrt(3)/3)+πk, k ∈ Z
3x=(π/3)+πk, k ∈ Z
х=(π/9)+(π/3)k, k ∈ Z
Указанному отрезку принадлежат корни:
x_(1)=(π/9)+(π/3)*1=4π/9
x_(2)=(π/9)+(π/3)*2=7π/9
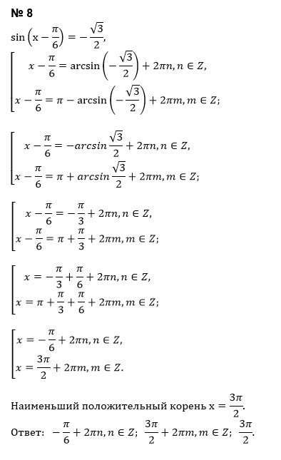
8.
x-(π/6)=(-1)^(k)arcsin(-sqrt(3)/2)+πk, k ∈ Z
x=(π/6)+(-1)^(k)(-π/3)+πk, k ∈ Z
При k=2n получаем:
x=(π/6)+(-π/3)+2πn, n ∈ Z
[b]x=(-π/6)+2πn, n ∈ Z[/b]
При k=2m+1
x=(-π/6)+(π/3)+π+2πm, m ∈ Z
x=(7π/6)+2πm, m ∈ Z
Наименьший положительный корень
х=(7π/6)
10.
tg(πx-(π/3))=1/sqrt(3)
πx-(π/3)=arctg(1/sqrt(3))+ πk, k ∈ Z
πx-(π/3)=(π/6)+ πk, k ∈ Z
πx=(π/3)+(π/6)+ πk, k ∈ Z
πx=(π/2)+ πk, k ∈ Z
x=(1/2) + k, k ∈ Z
Интервалу (-2;1) принадлежат корни:
x=(1/2)-2=-3/2
x=(1/2)-1=-1/2
x=(1/2)+0=1/2
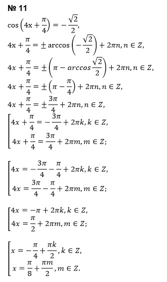
11.
4x+(π/4)= ± arccos(sqrt(2)/2)+2πn, n ∈ Z
4x+(π/4)= ± (π/4) +2πn, n ∈ Z
(1)
правая часть с +
4x+(π/4)= (π/4) +2πn, n ∈ Z
4x=2πn, n ∈ Z
[b]x=(π/2)n, n ∈ Z[/b]
(2)
правая часть с -
4x +(π/4)= - (π/4) +2πm, m ∈ Z
4x=- (π/2) +2πm, m ∈ Z
[b]x=- (π/8) +(π/2)*m, m ∈ Z[/b]
Указанному интервалу принадлежат корни
x=(π/2)*(-2)=-π
x=(π/2)*(-1)=-π/2
x=(π/2)*0=0
x=(π/2)*1=π/2
и
x=(-π/8)+(π/2)*(-1)=-5π/8
x=(-π/8)+(π/2)*0=(-π/8)
x=(-π/8)+(π/2)*1=3π/8
x=(-π/8)+(π/2)*2=7π/8
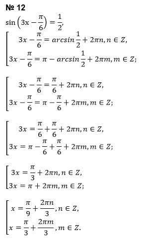
12.
3x - (π/6)=(-1)^(k) arcsin(1/2)+πk, k ∈ Z
3x - (π/6)=(-1)^(k)*(π/6)+πk, k ∈ Z
При k=2n, n ∈ Z
получим
(1)
3x-(π/6)=(π/6)+2πn, n ∈ Z
3x=(2π/6)+2πn, n ∈ Z
[b]x=(π/9) +(2π/3)n, n ∈ Z[/b]
При k=2m+1, m ∈ Z
получим
(2)
3x - (π/6)=- (π/6)+π*(2m+1), m ∈ Z
3x - (π/6)=- (π/6)+π*(2m+1), m ∈ Z
3x=π+2πm, m ∈ Z
[b] x=(π/3)+(2π/3)*m, m ∈ Z[/b]
Указанному промежутку принадлежат корни:
x=(π/9) + (2π/3)*(-3)=(π/9)-2π=-17π/9
x=(π/9) + (2π/3)*(-2)=(π/9)-(4π/3)=-11π/9
x=(π/9) + (2π/3)*(-1)=(π/9)-(2π/3)=-5π/9
x=(π/9) + (2π/3)*0=(π/9)
x=(π/9) + (2π/3)*1=(π/9)+(6π/9)=7π/9
и
x=(π/3)+(2π/3)*(-3) = (π/3)-2π=- (5π/3)
х= (π/3)+(2π/3)*(-2) = (π/3)-(4π/3)= - π
х= (π/3)+(2π/3)*(-1)= (π/3)-(2π/3)= - (π/3)
х= (π/3)+(2π/3)*0 = (π/3)














