Задать свой вопрос   *более 50 000 пользователей получили ответ на «Решим всё»

Задача 33240 Помогите решить срочно пожалуйста ,...

Условие

Помогите решить срочно пожалуйста , подробнее решения , буду очень благодарна
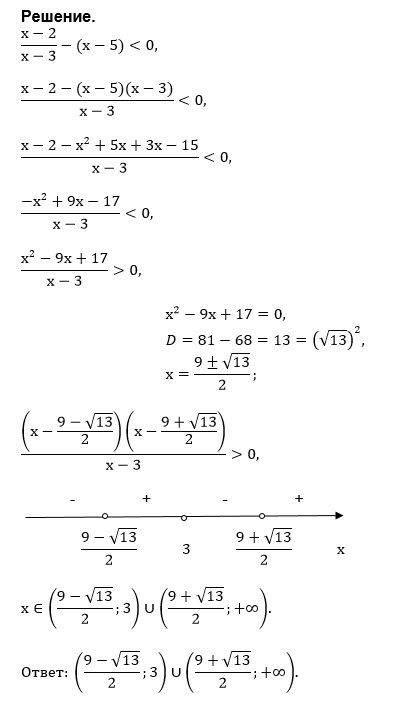
1)x-2/(x-3)-(x-5)<0

математика 10-11 класс 665

Решение

Вопросы к решению (1)

Написать комментарий

Меню

Присоединяйся в ВК