Задать свой вопрос   *более 50 000 пользователей получили ответ на «Решим всё»

Задача 33239 (1 point) Найдите кубический многочлен...

Условие

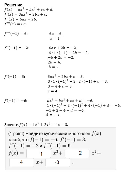
(1 point) Найдите кубический многочлен f(x) такой, что f(-1) = -6, f'(-1) = 3, f''(-1) = -2 и f'''(-1) = 6.

предмет не задан 633

Решение

Написать комментарий

Меню

Присоединяйся в ВК