



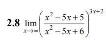
Применяем второй замечательный предел.
Так как
lim_(x→∞) (1 - (1/(x^2-5x+6)))^(x^2-5x+6)=e^(-1), то
lim_(x→∞) ((x^2-5x+5)/(x^2-5x+6))^(3х+2)=
lim_(x→∞) ((1 - (1/(x^2-5x+6)))^(x^2-5x+6))^((3x-2)/(x^2-5x+6))=(e^(-1))^(lim_(x→∞)((3x-2)/(x^2-5x+6)))= (e^(-1))^(0)=1