Задать свой вопрос   *более 50 000 пользователей получили ответ на «Решим всё»

Задача 33153 составьте уравнение плоскости проходящие...

Условие

составьте уравнение плоскости проходящие через прямую x-2y+5=0 2x-5y+z+4=0 паралельно прямой x-1:5 = y+2:3 = z-1:4

предмет не задан 669

Все решения

Выберем две точки, принадлежащие линии пересечения плоскостей
x-2y+5=0
и
2x-5y+z=4=0
Точек на линии пересечения - бесчисленное множество.
Пусть y=0
Тогда
{x+5=0
{2x-z+4=0

{x=-5
{2*(-5)+z+4=0 ⇒ z=6
P(-5;0;6)
Пусть
х=0
{-2y+5=0 ⇒ y=2,5
{-5y+z+4=0 ⇒ z=7,5
Q(0; 2,5; 7,5)
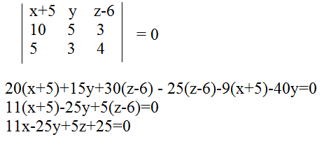
Пусть M(x;y;z)- произвольная точка плоскости
Тогда векторы
vector{MP}=(x-(-5);y-0;z-6)=(x+5;y;z-6)
и
vector {PQ}=(0-(-5); 2,5-0; 7,5-6)=(5; 2,5;1,5)
лежат в плоскости, а направляющий вектор параллельной прямой vector{s}=(5;3;4) им коллинеарен.
Таким образом все три вектора компланарны.
Значит их смешанное произведение равно 0
Составляем определитель третьего порядка из координат векторов и приравниваем его к 0
Вместо вектора vector {PQ}=(5; 2,5;1,5) возьмем вектор
2*vector {PQ}=(10; 5; 3)

Написать комментарий

Меню

Присоединяйся в ВК