Задать свой вопрос   *более 50 000 пользователей получили ответ на «Решим всё»

Задача 33028 Найти уравнение касательной плоскости и...

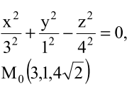
Условие

Найти уравнение касательной плоскости и нормали
к поверхности в т. M0

математика ВУЗ 5130

Решение

F(x;y;z)=(x^2/9)+(y^2/1)-(z^2/16)
F`_(x)=2x/9
F`_(y)=2y
F`(z)=-z/8

F`_(x)(М_(o))=(2*3)/9=2/3
F`_(y)(M_(o))=2*1=2
F`_(z)(M_(o))=-4sqrt(2)/8=-sqrt(2)/2

Подставляем в формулы (см. приложение)
(2/3)*(x-3) + 2*(y-1) - (sqrt(2)/2)*(z - 4sqrt(2))=0
4x-12 +12y-12 -3sqrt(2)z +24 =0

4x +12 y - 3sqrt(2)*z =0 - уравнение касательной плоскости.

(x -3)/(2/3) = ( y-1)/2 =(z-4sqrt(2))/(-sqrt(2)/2 - уравнение нормали

Написать комментарий

Меню

Присоединяйся в ВК