Задать свой вопрос   *более 50 000 пользователей получили ответ на «Решим всё»

Задача 33002 помогите решить интегралы...

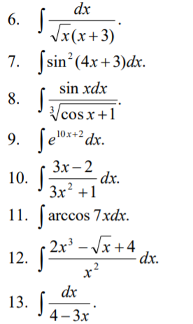
Условие

помогите решить интегралы

математика ВУЗ 828

Решение

6. Замена
sqrt(x)=t
x=t^2
dx=2tdt
Получим
∫ (2tdt)/(t*(t^2+3))=2 ∫ dt/(t^2+3)=(2/sqrt(3))* arctg (t/sqrt(3))+C=

=(2/sqrt(3))* arctg (sqrt(x)/sqrt(3))+C

7.
sin^2 α= (1-cos2 α )/2
получаем
∫ ( 1 - cos (8x+6))/2dx=(1/2) ∫ dx - (1/2) ∫ cos(8x+6)dx=

=(1/2)x - (1/2)*(1/8) sin(8x+6)+C

8.
Замена
сosx+1=t
d(cosx+1)=dt
(cosx+1)`*dx=dt
-sinxdx=dt
sinxdx=-dt
получаем
∫ (-dt)/∛t=- ∫ t^(-1/3)dt=-t^((-1/3)+1)/((-1/3)+1) + C=

=(-3/2)*t^(2/3)+C =

=(-3/2)*∛(cosx+1)^2 + C

9.

=(1/10)*e^(10x+2) + C

10.

= ∫ xdx/(x^2+1/3) - (2/3) ∫ dx/(x^2+(1/3))=

=(1/2)ln|x^2+(1/3)| -(2/3)*(sqrt(3))arctg(sqrt(3)x) + C

13.
=(-1/3)ln|4-3x|+C

12.

2* ∫ xdx - ∫ x^(-3/2)dx +4 ∫ x^(-2)dx= (2x^2/2)- (x^(-1/2))/(-1/2) +4x^(-1)/(-1)+C=

=x^2+(2/sqrt(x))-(4/x) + C

11
u=arccos7x
du=-7dx/sqrt(1-49x^2)

dv=dx
v=x

=x*(arccos7x)+7 ∫ xdx/sqrt(1-49x^2)=

=x*(arccos7x) -(7/98) ∫ d(1-49x^2)/sqrt(1-49x^2)=

=x*(arccos7x) -(1/14)*2sqrt(1-49x^2)+C

Написать комментарий

Меню

Присоединяйся в ВК