Задать свой вопрос   *более 50 000 пользователей получили ответ на «Решим всё»

Задача 32967 И вторую часть пожалуйста ((...

Условие

И вторую часть пожалуйста ((

математика 10-11 класс 746

Все решения

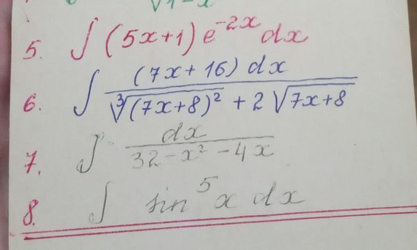
5.
По частям
u=5x+1
du=5dx
dv=e^(-2x)dx
v=(-1/2)e^(-2x)

Получаем
u*v- ∫ v*du=
=(5x+1)*(-1/2)*e^(-2x) - ∫ (-1/2)e^(-2x)*(5dx)=

=(-(5x+1)/2)*e^(-2x) +(5/2) ∫ e^(-2x)dx=

=(-(5x+1)/2)*e^(-2x) + (5/2)* (-1/2)* e^(-2x) + C=

= (-(5x+1)/2)*e^(-2x) - (5/4) * e^(-2x) + C.

6.
Замена переменной
(7x+8)^(1/6)=t ⇒ (7x+8)=t^6
∛(7x+8)^2=t^4
sqrt(7x+8)=t^3

d(7x+8)=d(t^6)
7dx=6t^5dt
dx=(6/7)t^5dt

Получаем
= ∫ ((t^6+8)*(6/7)t^5dt)/(t^4+t^3)=

=(6/7) ∫ (t^6+8)*t^2dt/(t+1)

=(6/7) ∫ (t^8+8t^2)dt/(t+1)

См. интегрирование неправильных рациональных дробей.
Делим числитель на знаменатель.

(t^8+8t^2)/(t+1)=t^7-t^6+t^5-t^4+t^3-t^2+9t-9+(9/(t+1))

Интегрируем правую часть:

=(t^8/8)-(t^7/7)+(t^6/6)-(t^5/5)+(t^4/4)-(t^3/3)+(9t^2/2)-9t+9ln|t+1|+C
где t=(7x+8)^((1/6)

7.
Выделяем полный квадрат
32-x^2-4x=-(x^2+4x+4)+36=6^2-(x+2)^2
Замена
x+2=u
dx=du

получаем
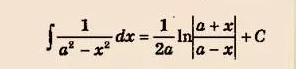
∫ du/(6^2-u^2)= табличный интеграл см. формулу в приложении а=6
= (1/12)*ln|(u+6)/(u-6)|+С, где u=x+2

8.
∫ sin^5xdx= ∫ sin^4x*sinxdx= ∫ (1-cos^2x)^2(sinxdx)=

= ∫ (1-2cos^2x+cos^4x)*(sinxdx)= так как d(cosx)=-sinxdx, поэтому

= - ∫ d(cosx) +2* ∫ cos^2xd(cosx) - ∫ cos^4xd(cosx)=

=-cosx +2*(cos^3x/3) -(cos^5x/5) + C

Написать комментарий

Меню

Присоединяйся в ВК