Интеграл от суммы (разности) равен сумме (разности) интегралов.
Постоянный множитель можно вынести за знак интеграла
a^(m) : a^(n)=a^(m-n)
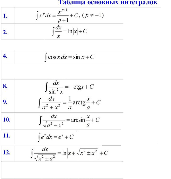
табличные интегралы 1; 4; 9 и правило интегрирования сложной функции, аргументом которой является линейная ( см. приложение 2)
(выделено жирным шрифтом)
=5*∫ (x^(4-(1/2))dx - 4*[b] ∫ cos5xdx[/b] +3*∫ (1/(4+x^2))dx - 9* ∫ dx=
=5*(x^(3,5+1))/(3,5+1) -4 * (1/5) sin5x +3* (1/2)arctg (x/2) -9x +C=
=(10/9)x^(4,5)-(4/5)sin5x +(3/2)arctg(x/2)-9x+C
2.
Интеграл от суммы (разности) равен сумме (разности) интегралов.
Постоянный множитель можно вынести за знак интеграла
табличные интегралы 12; 8; 2
и правило интегрирования сложной функции, аргументом которой является линейная ( см. приложение 2)
(выделено жирным шрифтом)
=6*ln|x+sqrt(x^2-5)|+[b](3/7)(-ctg7x)[/b]-2ln|x-3| + C
3.
Интеграл от суммы (разности) равен сумме (разности) интегралов.
Постоянный множитель можно вынести за знак интеграла
табличные интегралы 11; 10; 12
и правило интегрирования сложной функции, аргументом которой является линейная ( см. приложение 2)
(выделено жирным шрифтом)
=2*[b](1/4)e^(4x)[/b]-6*arcsin(x/4)+4*ln|x+sqrt(x^2+13)|+C
4.
Замена переменной:
u=arcsinx;
du=dx/sqrt(1-x^2)
получим
= ∫ udu=(u^2/2)+C = ((arcsinx)^2/2) + C