Задать свой вопрос
*более 50 000 пользователей получили ответ на «Решим всё»
Задача 32803
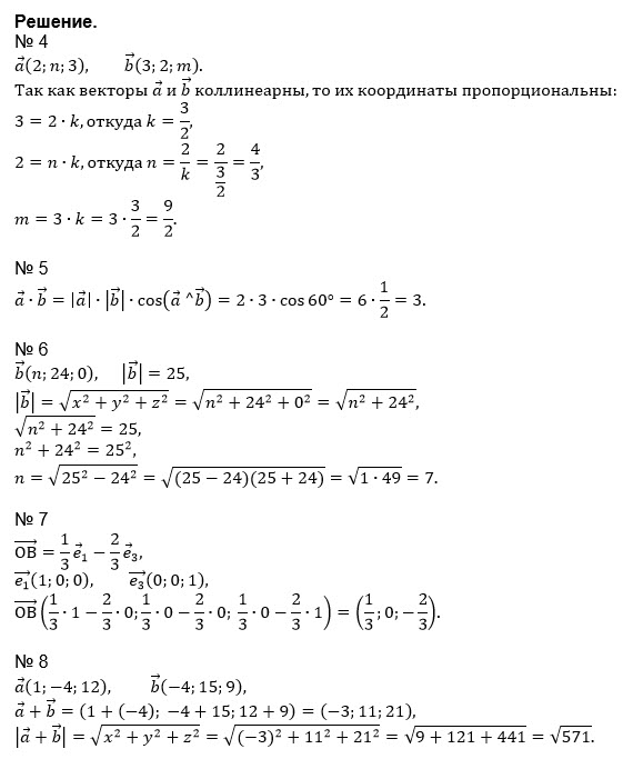
Задание на картинке...
Условие
sbwbbwr
2019-01-18 21:47:08
Задание на картинке
математика ВУЗ
499
Решение
u821511235
2019-01-18 23:46:25
★
Написать комментарий
Меню
Решим всё
Найти задачу
Категории
Статьи
Тесты
Архив задач
Присоединяйся в ВК