Задать свой вопрос
*более 50 000 пользователей получили ответ на «Решим всё»
Задача 32783
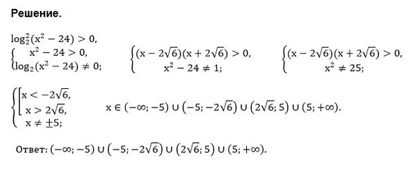
Решить неравенство log^2_2(x^2-24) > 0...
Условие
joker
2019-01-17 18:59:05
Решить неравенство log^2_2(x^2-24) > 0
предмет не задан
1193
Решение
u821511235
2019-01-17 19:13:25
★
Написать комментарий
Меню
Решим всё
Найти задачу
Категории
Статьи
Тесты
Архив задач
Присоединяйся в ВК