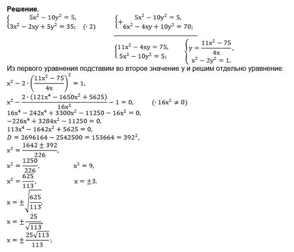
5х^2-10у^2=5
3х^2-2ху+5у^2=35
Решение: Данная система является однородной системой,так как левые части уравнений есть однородные многочлены второй степени. Подстановкой убеждаемся,что x=0 и y=0 решением не являются.Приведем второе уравнение к виду, когда правая часть уравнения будет равна нулю. Для этого умножим первое уравнение на 35 и вычтем из него второе уравнение предворительно сократив обе части первого уравнения на 5, получим систему {x^2-2y^2=1; 32x^2+2xy-75y^2=0 Разделим обе части на y^2.получим систему:{x^2-2y^2=1. 32*(x/y)^2+2xy-75y^2=0 Решаем второе уравнение относительно (x/y):
(x/y)1.2=(-1+-49)/32 получаем x/y=3/2 или x/y=-25/16. Получили две системы: {x/y=3/2; x^2-2y^2=1 и {x/y=-25/16; x^2-2y^2=1.
Решаем первую систему:{ y=2x/3. x^2-2y^2=1; x^2-2*4x^2/9-1=0. x^2=9. Отсюда x1.2=+-3 .Соответственно y1.2=+-2.
Решаем вторую систему: {y=-16x/25;x^2-2y^2=1. x^2-2*(256x^2)/625=1. Отсюда x3,4=+-25/sgrt(113) ; Соответственно y3.4=+-16/sgrt(113) Получаем следующее решение: (25/sgrt(113);16/sgrt(113); (-25/sgrt(113;-16/sgrt(113).
Ответ(3;2);(-3;-2);(25/sgrt(113);16/sgrt(113));(-25/sgrt(113);-16/sgrt(113)).
35x^2-70y^2=35
приравняем правые части
3x^2-2xy+5y^2=35x^2-70y^2
получили [b]однородное[/b] уравнение второй степени
32x^2+2xy -75y^2=0
x=0;y=0 не является решением системы
Делим на у^2:
t=x/y
32t^2 +2t-75=0
D=4+4*32*75=9604=98^2
t=(-2-98)/64= или t=(-2+98)/64
t=-25/16 или t=3/2
x/y=-25/16
x=-(25/16)y
и
подставляем в первое уравнение
5*((-25/16)y)^2-10y^2=5
y^2=256/113
y_(1)=16/sqrt(113); y_(2)=-16/sqrt(113)
x_(1)=-25/sqrt(113);x_(2)=25/sqrt(113)
x/y=3/2
x=3y/2
и подставляем в первое уравнение
(9/4)y^2-2y^2=1
y^2=4
y_(3)=2;y_(4)=-2
x_(4)=3;x_(4)=-3
О т в е т. (-25/sqrt(113); 16/sqrt(113)); (25/sqrt(113);-16/sqrt(113);
(3;2);(-3;-2)
