Задать свой вопрос
*более 50 000 пользователей получили ответ на «Решим всё»
Задача 32666
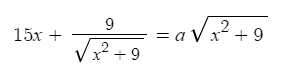
Найдите все значения параметра а, при...
Условие
aivengo
2019-01-12 16:47:32
Найдите все значения параметра а, при каждом из которых уравнение имеет хотя бы один корень.
математика 10-11 класс
698
О решение...
На нашем сайте такое бывает редко, но решение к данной задаче еще никто не написал.
Что Вы можете сделать?
Выставите данный вопрос вновь. Перейдите на
главную страницу
.
Найдите похожую задачу. Используйте
поиск
.
Написать комментарий
Меню
Решим всё
Найти задачу
Категории
Статьи
Тесты
Архив задач
Присоединяйся в ВК