Задать свой вопрос
*более 50 000 пользователей получили ответ на «Решим всё»
Задача 32588
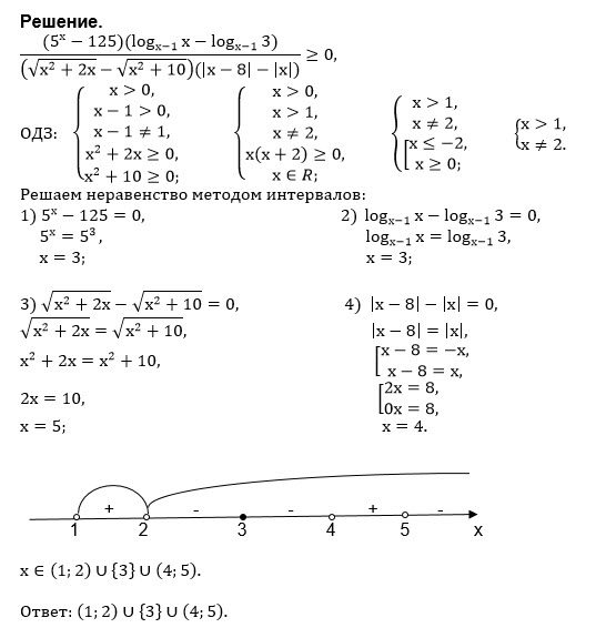
(5^(x)-125)*(log_(x-1)x - log_(x-1)3)/((...
Условие
vk39336271
2019-01-08 16:26:22
(5^(x)-125)*(log_(x-1)x - log_(x-1)3)/(( sqrt(x^(2)+2x)- sqrt(x^(2)+10))*(|x-8|-|x|)
математика 10-11 класс
1487
Решение
u821511235
2019-01-08 18:08:51
★
Написать комментарий
Меню
Решим всё
Найти задачу
Категории
Статьи
Тесты
Архив задач
Присоединяйся в ВК