Задать свой вопрос   *более 50 000 пользователей получили ответ на «Решим всё»

Задача 32577 ...

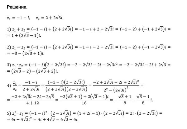
Условие

Задание 1
Даны комплексные числа z₁ и z₂ в алгебраической форме. Требуется найти: 1) z₁ + z₂ ; 2) z₁ - z₂ ; 3) z₁ * z₂ ; 4) z₁ / z₂ ; 4) z₁² - z̅₂.

4. z₁ = -1 - i ; z₂ = 2 + 2√3i

предмет не задан 10-11 класс 1058

Решение

Написать комментарий

Категория

Меню

Присоединяйся в ВК