Задать свой вопрос
*более 50 000 пользователей получили ответ на «Решим всё»
Задача 32497
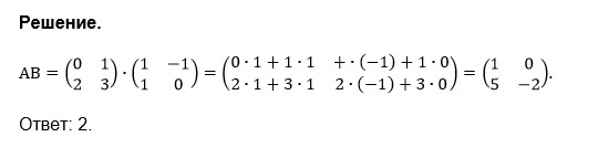
Произведение матриц А и Б есть матрица...
Условие
vk426710327
2018-12-28 23:21:57
Произведение матриц А и Б есть матрица
предмет не задан
564
Все решения
u821511235
2018-12-29 09:01:41
Написать комментарий
Меню
Решим всё
Найти задачу
Категории
Статьи
Тесты
Архив задач
Присоединяйся в ВК