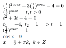
а) Решите уравнение (1/16)^(cosx)+3*(1/4)^(cosx)-4=0 б) Найдите все корни этого уравнения, принадлежащие отрезку [4pi; 7pi].
[b]Подробное решение к этому заданию смотрите здесь: [link=http://reshimvse.com/zadacha.php?id=13068][/b]
Найдите все корни этого уравнения, принадлежащие отрезку [4pi; 7pi]
Почитайте <a href=http://reshimvse.com/article.php?id=100>тут</a>
Где можно посмотреть все корни этого уравнения, принадлежащие отрезку [4pi; 7pi] ?
Я разместил ссылку на подробное решение.
там написано, что решение к данной задаче еще никто не написал
Утром или днем по МСК кто-нибудь напишет