Задать свой вопрос   *более 50 000 пользователей получили ответ на «Решим всё»

Задача 32456 Написать уравнение плоскости, проходящей...

Условие

Написать уравнение плоскости, проходящей через точки P(2, 1, -1) и Q(3, 0, 3) и перпендикулярной к заданной плоскости 3x + 4y - 2z – 5=0.

предмет не задан 2727

Все решения

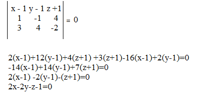
Пусть M (x;y;z) - произвольная точка плоскости.
Тогда векторы
vector{PM}=(x-2;y-1;z+1)
vector{PQ}=(3-2;0-1;3-(-1))=(1;-1;4)
vector{n}=(3;4;-2)
компланарны.
Условием компланарности является равенство 0 определителя третьего порядка, составленного из координат данных векторов.
Раскрываем определитель и получаем уравнение плоскости.

Написать комментарий

Меню

Присоединяйся в ВК