Задать свой вопрос
*более 50 000 пользователей получили ответ на «Решим всё»
Задача 32419
Помогите пожалуйста, требуется...
Условие
vk274496370
2018-12-25 11:00:18
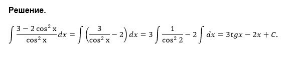
Помогите пожалуйста, требуется Проинтегрировать 3-2cos2x /cos2x dx
предмет не задан
586
Все решения
u821511235
2018-12-25 15:50:09
Написать комментарий
Меню
Решим всё
Найти задачу
Категории
Статьи
Тесты
Архив задач
Присоединяйся в ВК