Задать свой вопрос   *более 50 000 пользователей получили ответ на «Решим всё»

Задача 32347 составьте уравнение касательной к кривой...

Условие

составьте уравнение касательной к кривой [b] y=f(x)[/b] в точке с абсциссой [b]x=x0[/b] [b]x=t(1+costt), y=ln(t+1)[/b]

математика ВУЗ 649

Решение

t_(o)=0

x_(o)=x(0)=0
y_(o)=y(0)=ln1=0


x`_(t)=t`*(1+cost)+t*(1+cost)`=1+cost+t*(-sint)=1+cost-tsint
y`_(t)=1/(t+1)

x`_(0)=1+1-0=2
y`_(0)=1/(0+1)=1

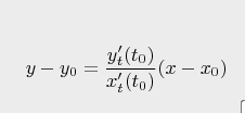
Применяем формулу ( см. приложение)

y - 0= (1/2)*(x-0)

y=(1/2)x

[b]y=x/2[/b]

Написать комментарий

Меню

Присоединяйся в ВК