Задать свой вопрос
*более 50 000 пользователей получили ответ на «Решим всё»
Задача 32284
решите пожалуйста(( (если можно на...
Условие
vk344135258
2018-12-22 10:43:49
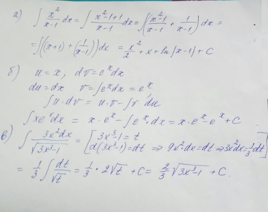
решите пожалуйста((
(если можно на листе)
математика ВУЗ
574
Решение
sova
2018-12-22 10:59:22
★
Написать комментарий
Меню
Решим всё
Найти задачу
Категории
Статьи
Тесты
Архив задач
Присоединяйся в ВК