Задать свой вопрос
*более 50 000 пользователей получили ответ на «Решим всё»
Задача 32268
...
Условие
vk459344689
2018-12-22 02:16:32
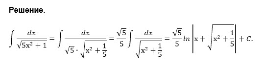
7.6. ∫ (dx) / (√5x² + 1)
предмет не задан
640
Решение
u821511235
2018-12-22 07:12:31
★
Написать комментарий
Меню
Решим всё
Найти задачу
Категории
Статьи
Тесты
Архив задач
Присоединяйся в ВК