Задать свой вопрос
*более 50 000 пользователей получили ответ на «Решим всё»
Задача 32267
...
Условие
vk459344689
2018-12-22 02:16:26
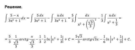
14.6. ∫(5 - x) / (3x² + 1) dx.
предмет не задан
644
Решение
u821511235
2018-12-22 08:48:15
★
Написать комментарий
Меню
Решим всё
Найти задачу
Категории
Статьи
Тесты
Архив задач
Присоединяйся в ВК