Задать свой вопрос
*более 50 000 пользователей получили ответ на «Решим всё»
Задача 32266
...
Условие
vk459344689
2018-12-22 02:16:19
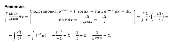
13.6. ∫ (sin x / e^cos x) dx.
предмет не задан
661
Решение
u821511235
2018-12-22 07:36:58
★
Написать комментарий
Меню
Решим всё
Найти задачу
Категории
Статьи
Тесты
Архив задач
Присоединяйся в ВК