Задать свой вопрос
*более 50 000 пользователей получили ответ на «Решим всё»
Задача 32264
...
Условие
vk459344689
2018-12-22 02:16:04
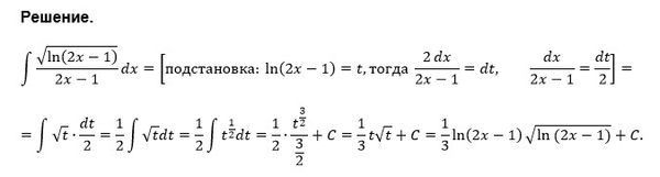
9.6. ∫ √ln(2x - 1) / (2x - 1) dx.
предмет не задан
663
Решение
u821511235
2018-12-22 07:56:38
★
Написать комментарий
Меню
Решим всё
Найти задачу
Категории
Статьи
Тесты
Архив задач
Присоединяйся в ВК