Задать свой вопрос
*более 50 000 пользователей получили ответ на «Решим всё»
Задача 32263
...
Условие
vk459344689
2018-12-22 02:15:57
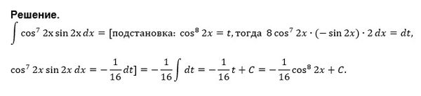
10.6. ∫ cos^7 2x sin 2x dx.
предмет не задан
696
Решение
u821511235
2018-12-22 08:07:16
★
Написать комментарий
Меню
Решим всё
Найти задачу
Категории
Статьи
Тесты
Архив задач
Присоединяйся в ВК