Задать свой вопрос
*более 50 000 пользователей получили ответ на «Решим всё»
Задача 32262
...
Условие
vk459344689
2018-12-22 02:15:51
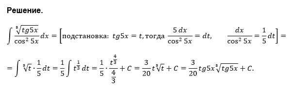
11.6. ∫ (³√tg 5x / cos² 5x ) dx.
предмет не задан
604
Решение
u821511235
2018-12-22 08:17:41
★
Написать комментарий
Меню
Решим всё
Найти задачу
Категории
Статьи
Тесты
Архив задач
Присоединяйся в ВК