Задать свой вопрос
*более 50 000 пользователей получили ответ на «Решим всё»
Задача 32258
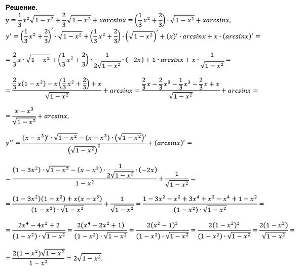
Найдите 2 производную y = (1/3) * x^2 *...
Условие
lost
2018-12-22 00:02:25
Найдите 2 производную
y = (1/3) * x^2 * sqrt(1 - x^2) + (2/3) * sqrt(1 - x^2) + x * arcsin(x)
математика
725
Решение
u821511235
2018-12-22 06:54:31
★
Написать комментарий
Меню
Решим всё
Найти задачу
Категории
Статьи
Тесты
Архив задач
Присоединяйся в ВК