Задать свой вопрос   *более 50 000 пользователей получили ответ на «Решим всё»

Задача 32256 Даны векторы [b]a=2i+j-k, b=2i+3j-k,...

Условие

Даны векторы [b]a=2i+j-k, b=2i+3j-k, c=i-j+2k [/b].Вычислите [b]np_(c)(2а+b)[/b]

математика ВУЗ 1507

Решение

2*vector{a}+vector{b}=(2*2+2;2*1+3;2*(-1)+(-1))=(6;5;-3)

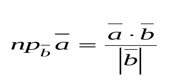
пр_(vector{c})(2*vector{a}+vector{b})=((2*vector{a}+vector{b})*vector{c})/(|vector{c}|)=

=(6*1+5*(-1)+(-3)*2)/sqrt(1^2+(-1)^2+2^2)=

=-5/sqrt(6)

Написать комментарий

Меню

Присоединяйся в ВК