Задать свой вопрос
*более 50 000 пользователей получили ответ на «Решим всё»
Задача 32246
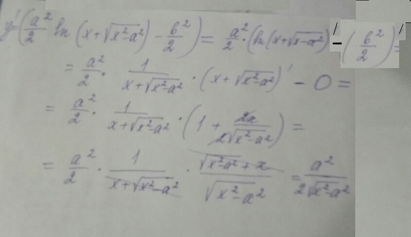
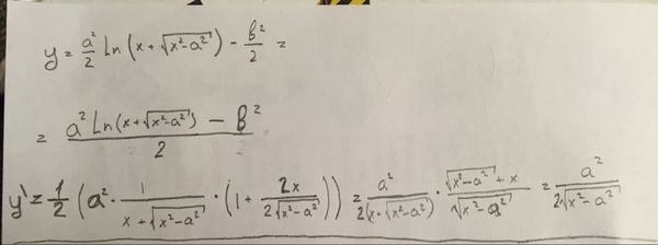
Найдите производную сложной функции y =...
Условие
lost
2018-12-21 19:39:28
Найдите производную сложной функции
y = (a^2 / 2) * ln(x + sqrt(x^2 - a^2)) - (b^2 / 2)
математика
748
Решение
vk238001967
2018-12-21 20:04:57
★
Все решения
sova
2018-12-21 20:24:29
Написать комментарий
Меню
Решим всё
Найти задачу
Категории
Статьи
Тесты
Архив задач
Присоединяйся в ВК