Задать свой вопрос
*более 50 000 пользователей получили ответ на «Решим всё»
Задача 32245
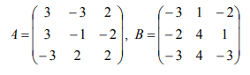
Для заданных матриц А и В найти АВ-ВА ...
Условие
vk213363792
2018-12-21 19:38:47
Для заданных матриц А и В найти АВ-ВА
математика ВУЗ
1455
Все решения
sova
2018-12-21 21:36:22
u821511235
2018-12-21 21:04:50
vk238001967
2018-12-21 20:33:02
Написать комментарий
Меню
Решим всё
Найти задачу
Категории
Статьи
Тесты
Архив задач
Присоединяйся в ВК