Задать свой вопрос   *более 50 000 пользователей получили ответ на «Решим всё»

Задача 32237 Составьте [b]уравнение плоскости[/b],...

Условие

Составьте [b]уравнение плоскости[/b], проходящей через точки [b]M(3;-2;5)[/b] и [b]N(2;3;1)[/b] и параллельной оси Oz.

математика ВУЗ 754

Решение

Пусть Р(x;y;z) - произвольная точка данной плоскости.
Тогда векторы
vector{MP}=(x-3;y+2;z-5) ;vector{MN}=(2-3;3-(-2);1-5)=(-1;5;-4) и vector{k}=(0;0;1) [b] компланарны[/b]

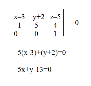
Условием компланарности векторов является равенство 0 определителя третьего порядка, составленного из координат данных векторов:

Вопросы к решению (1)

Написать комментарий

Меню

Присоединяйся в ВК