Задать свой вопрос
*более 50 000 пользователей получили ответ на «Решим всё»
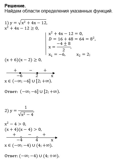
Задача 32201
Помогите рожалуйста ...
Условие
vk152085396
2018-12-20 16:51:21
Помогите рожалуйста
предмет не задан
757
Все решения
u821511235
2018-12-20 20:55:14
Написать комментарий
Меню
Решим всё
Найти задачу
Категории
Статьи
Тесты
Архив задач
Присоединяйся в ВК