Задать свой вопрос   *более 50 000 пользователей получили ответ на «Решим всё»

Задача 32194 Вычислить определитель третьего порядка...

Условие

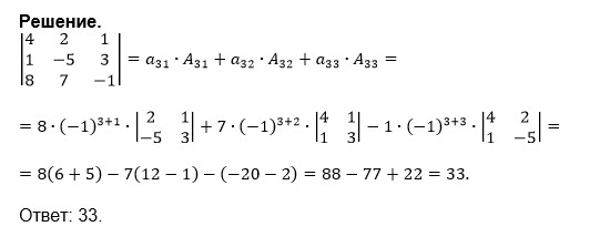
Вычислить определитель третьего порядка по правилу треугольников, разложив по третьей строке:

математика ВУЗ 3418

Решение

Правило треугольников:

Δ= 4*(-5)*(-1)+2*3*8+1*7*1 - 8*(-5)*1-4*7*3-1*2*(-1)=

=20+48+7+40-84+2=33

Все решения

Написать комментарий

Меню

Присоединяйся в ВК