Задать свой вопрос
*более 50 000 пользователей получили ответ на «Решим всё»
Задача 3213
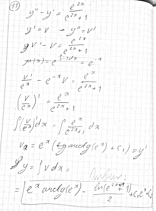
y''-y'=e^(2x)/(e^(2x)+1) решить...
Условие
slava191
21.05.2015
y''-y'=e^(2x)/(e^(2x)+1) решить дифференциальное уравнение
математика ВУЗ
7824
Решение
Ответ:
В решение
Написать комментарий
Меню
Решим всё
Найти задачу
Категории
Статьи
Тесты
Архив задач
Присоединяйся в ВК