Задать свой вопрос
*более 50 000 пользователей получили ответ на «Решим всё»
Задача 3212
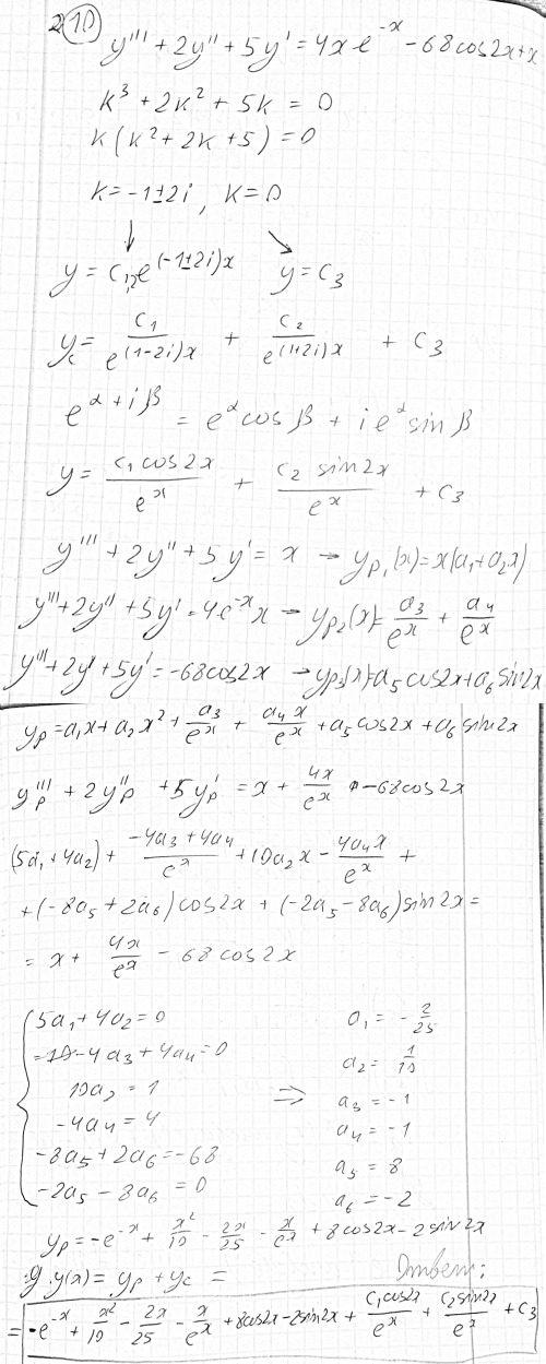
y'''+2y''+5y'=4xe^(-x)-68cos2x+x решить...
Условие
slava191
21.05.2015
y'''+2y''+5y'=4xe^(-x)-68cos2x+x решить дифференциальное уравнение
математика ВУЗ
2568
Решение
Ответ:
В решение
Написать комментарий
Меню
Решим всё
Найти задачу
Категории
Статьи
Тесты
Архив задач
Присоединяйся в ВК