Задать свой вопрос
*более 50 000 пользователей получили ответ на «Решим всё»
Задача 3211
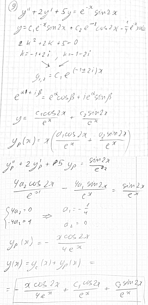
y''+2y'+5y=e^(-x)sin2x решить...
Условие
slava191
21.05.2015
y''+2y'+5y=e^(-x)sin2x решить дифференциальное уравнение
математика ВУЗ
9203
Решение
Ответ:
В решение
Написать комментарий
Меню
Решим всё
Найти задачу
Категории
Статьи
Тесты
Архив задач
Присоединяйся в ВК