Задать свой вопрос
*более 50 000 пользователей получили ответ на «Решим всё»
Задача 3210
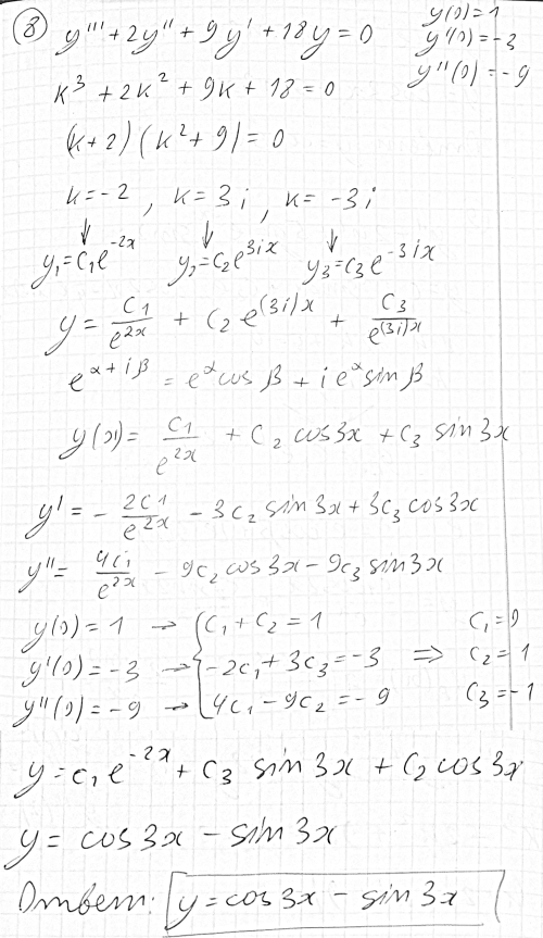
y'''+2y''+9y'+18y=0, y(0)=1, y'(0)=-3,...
Условие
slava191
21.05.2015
y'''+2y''+9y'+18y=0, y(0)=1, y'(0)=-3, y''(0)=-9 решить дифференциальное уравнение
математика ВУЗ
4922
Решение
Ответ:
В решение
Написать комментарий
Меню
Решим всё
Найти задачу
Категории
Статьи
Тесты
Архив задач
Присоединяйся в ВК