Задать свой вопрос
*более 50 000 пользователей получили ответ на «Решим всё»
Задача 3209
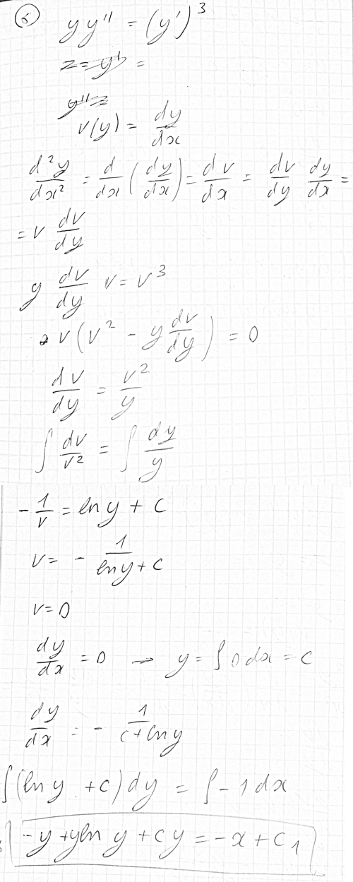
yy''=(y')^3 решить дифференциальное...
Условие
slava191
21.05.2015
yy''=(y')^3 решить дифференциальное уравнение
математика ВУЗ
4334
Решение
Ответ:
В решение
Написать комментарий
Меню
Решим всё
Найти задачу
Категории
Статьи
Тесты
Архив задач
Присоединяйся в ВК