Задать свой вопрос
*более 50 000 пользователей получили ответ на «Решим всё»
Задача 3208
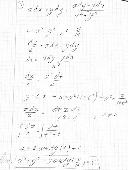
xdx+ydy=(xdy-ydx)/(x^2+y^2) решить...
Условие
slava191
21.05.2015
xdx+ydy=(xdy-ydx)/(x^2+y^2) решить дифференциальное уравнение
математика ВУЗ
9488
Решение
Ответ:
В решение
Написать комментарий
Меню
Решим всё
Найти задачу
Категории
Статьи
Тесты
Архив задач
Присоединяйся в ВК