Задать свой вопрос
*более 50 000 пользователей получили ответ на «Решим всё»
Задача 32078
...
Условие
vk412322853
2018-12-18 15:08:03
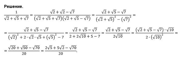
Избавиться от иррациональности в знаменателе ,объясните пожалуйста 1/√2+√5+√7
математика 10-11 класс
2013
Все решения
u821511235
2018-12-18 16:23:50
Написать комментарий
Меню
Решим всё
Найти задачу
Категории
Статьи
Тесты
Архив задач
Присоединяйся в ВК