Задать свой вопрос
*более 50 000 пользователей получили ответ на «Решим всё»
Задача 3207
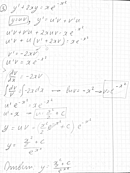
y'+2xy=xe^(-x^2) решить дифференциальное...
Условие
slava191
21.05.2015
y'+2xy=xe^(-x^2) решить дифференциальное уравнение
математика ВУЗ
23623
Решение
Ответ:
В решение
Вопросы к решению (1)
Спрашивает:
u8724919653
почему v'+2xv=0?
Написать комментарий
Меню
Решим всё
Найти задачу
Категории
Статьи
Тесты
Архив задач
Присоединяйся в ВК