Задать свой вопрос
*более 50 000 пользователей получили ответ на «Решим всё»
Задача 32060
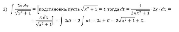
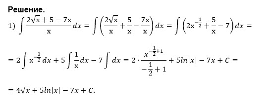
Вычислить неопределенный...
Условие
vk185183596
2018-12-18 09:25:39
Вычислить неопределенный интеграл.
Любое,пожалуйста
математика 10-11 класс
1179
Все решения
u821511235
2018-12-18 09:37:13
Написать комментарий
Меню
Решим всё
Найти задачу
Категории
Статьи
Тесты
Архив задач
Присоединяйся в ВК