Задать свой вопрос
*более 50 000 пользователей получили ответ на «Решим всё»
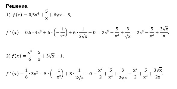
Задача 32045
...
Условие
vk344739097
2018-12-17 21:18:18
предмет не задан
478
Все решения
u821511235
2018-12-17 21:48:24
Написать комментарий
Меню
Решим всё
Найти задачу
Категории
Статьи
Тесты
Архив задач
Присоединяйся в ВК